|
Les pondérations
des titres dans l'indice sont revues semestriellement, c'est-à-dire
au moment des révisions prévues dans la présente politique de
maintien et de suivi de l'indice. À ces dates, le poids de chaque
entreprise i à la date de révision r (PIi,r) est obtenu à l'aide de
la formule suivante :

Avec :
PIi,r = Poids de l'entreprise i dans
l'indice à la date de révision r;
Fi,r = Valeur marchande du flottant de l'entreprise i à la date de
révision r ;
PQi,r = Pourcentage de l'activité dans le territoire visé de
l'entreprise i à la date de révision r :

CINFLi,r = Pourcentage territorial du
centre d'influence pour l'entreprise i à la date de révision r ;
CPRODi,r = Pourcentage territorial des activités de production de
l'entreprise i à la date de révision r ;
CPROPi,r = Pourcentage territorial des actionnaires de contrôle de
l'entreprise i à la date de révision r.
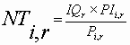
Le nombre de
titres, NTi, de chacune des entreprises faisant partie de l'indice
est aussi recalculé à tous les six mois à l’aide de la formule
suivante :

avec :
NTi,r = le nombre d'actions du titre i
à inclure dans l'indice à la date de révision r ;
IQr = la valeur de l'indice à la date de révision r ;
Pi,r = le prix de l'action i à la date de révision.
Enfin, à chacune
des dates t comprises entre deux dates de révision, l'indice est
obtenu à l'aide de la formule suivante :

avec :
n =
le nombre d’entreprise dans l’indice.
Kt est un facteur
d'ajustement qui permet de laisser l'indice inchangé lors
d'événements spéciaux comme l'ajout ou le retrait d'un titre dans
l'indice. |